TMSZ

   
   
Startseite
Unser Anliegen
Aktuelle Projekte
Frühere Projekte
Kontakt
   
   

 

 

 Partitio Numerorum
            

Algorithmische kombinatorische Zahlentheorie

Workshop für Schülerinnen und Schüler ab Klasse 10


Die mathematische Fragestellung allein ist keineswegs neu. Naive Anfragen Dritter nach der Lösung eines bestimmten Problems an den großen Meister haben das Interesse des bereits erblindeten Leonhard Euler geweckt. partition unit tree Es handelte sich tatsächlich zunächst um eine relativ einfach zu verstehende Angelegenheit. In Eulers Hand jedoch avancierte sie zu einer mathematischen Kostbarkeit, die an Attraktivität bis auf den heutigen Tag nichts eingebüßt hat, und dies gleich in mehrfacher Hinsicht. Euler hätte in seinen kühnsten Träumen nicht zu denken gewagt, dass dieses Thema einmal intimste Verbindungen zur theoretischen Physik (Quantenphysik, Elektrodynamik), der drahtlosen Datenübertragung in Netzwerken (wireless data transmission networks) sowie der hochsicheren Verschlüsselung von Daten anlässlich ihrer Speicherung und ihres Austausches auf elektronischer Basis (knapsack cyphering) aufweisen sollte. - Wie sollte er auch. Dass im Jahre 1993 an der Universität Ottawa (Kanada) Antoine Zoghbi seine M.S.-Arbeit zu eben diesem Thema anfertigt, bekundet die hohe Aktualität der Sache.

Neu, und zwar allerneuesten Datums, sind tiefliegende Einsichten und insbesondere weitreichende Entdeckungen zahlreicher Verbindungen dieses scheinbar lapidaren Themas zu anderen naturwissenschaftlichen Disziplinen.

Worum geht es?

Srinivasa
Ramanujan
Srinivasa Ramanujan
PARTITIO NUMERORUM, der Titel einer auf das höchste geschätzten, in lateinischer Sprache gefassten Abhandlung Leonhard Eulers, verrät in erster Näherung die Richtung, in die wir segeln. Schlicht und ergreifend geht es darum: auf wie viele Arten kann man eine (beliebige) natürliche Zahl n als eine Summe ebensolcher natürlicher Zahlen darstellen? An die Summanden selbst wie auch an deren Anzahl sind (zunächst) keinerlei weitere Bedingungen geknüpft, es handelt sich um sog. unrestricted partitions. Tatsächlich eine nicht gerade spannende Angelegenheit, sollte man meinen. Dennoch liegt sie ihrer Natur nach auf der Hand, kann man sich doch alle natürlichen Zahlen dadurch entstanden denken, dass man ständig einen einzigen Schritt wiederholt, nämlich die Addition der Zahl eins, beginnend mit der eins. Es versteht sich von selbst, dass sich diese gesuchte Anzahl (man beachte … auf wie viele Arten ...) mit der Wahl der Zahl n ändert.

Der neue Supercomputer des Forschungszentrum Juelich

Damit wäre die Exposition des Themas in gröbster Näherung — bis auf die noch ausstehende Antwort auf die Frage nach eben dieser Anzahl — abgeschlossen, wären da nicht kleine Absonderlichkeiten, die zuweilen auch Experten erhebliches Kopfzerbrechen bereiten.

Schickt sich jemand an, diese in den Raum gestellte Frage zu beantworten, dann beißt er oder sie auf Granit. Für kleine Werte von n lässt sich die Frage beantworten, wie gesagt für wenige kleine Werte. Diese Liste wiederum aber bietet nicht genug Informationen, zumindest eine grobe Vermutung darüber anzustellen, wie sich diese von n abhängige Anzahl, nennen wir sie p(n), mit zunehmendem n entwickelt. Auch eine längere Liste mit weiteren Einträgen für p(n) nährt die Hoffnung auf Erfolg in der Sache allerdings nicht. Genosse Computer kann hier nicht wirklich helfen.

Der hocherfahrene Euler hätte wohl an dieser Stelle gesagt: Müssen wir denn diese Anzahl aller möglichen Partitionen auf einen Schlag bestimmen? Ahnte er die Entwicklung von p(n) gemäß dieser Tabelle?

  • p(1) = 1
  • p(2) = 2
  • p(3) = 3
  • p(4) = 5
  • p(5) = 7
  • p(6) = 11
  • p(9) = 30
  • p(10) = 42
  • p(67) = erzeuge alle möglichen Zerlegungen und man hat die Zahl p(67)
  • p(100) = 190 569 292
  • p(1111) = 1 736 360 750 830 546 535 004 742 869 861 557
  • p(4711) = 881 783 350 948 258 368 256 358 636 852 732 514 927 982 297 763 739 886 702 179 398 736 002 751 > 8⋅1071

Mehr dazu hier:

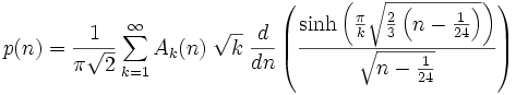
Wie gewinnt man die Anzahl p(n)? … so:

Formel fuer p(n)

wer neugierig nach dem Faktor Ak(n) fragt, dem kann geholfen werden:

Ak(n)

Diese Formel stammt nicht von Euler. Der indische Jüngling Srinivasa Ramanujan hat ohne jede akademische Vorbildung gemeinsam mit der britischen Mathematiklegende Professor
Godfrey Hardy
Godfrey Harold Hardy
Godfrey Harold Hardy (Trinity College Cambridge) diese Formel entwickelt; später haben der US-amerikanische Mathematiker Rogers und der Hamburger Mathematiker Hans Adolph Rademacher sie wesentlich verfeinert. Verfeinert? Was heißt das in der Mathematik?

Bei genauerem Hinsehen entdeckt man, dass diese Formel keineswegs ganzzahlige Werte liefert, sie ist nur eine Näherungsformel für p(n), allerdings mit der Güte an Genauigkeit, dass sich der Wert für p(100) gemäß der Formel von dem tatsächlichen Wert für p(100) um weniger als 1/100 unterscheidet! So genau können Näherungen auch sein. Das meint … haben sie wesentlich verfeinert.

Mit der Anzahl p(n) allein hat man natürlich nicht die Zerlegungen selbst zur Hand. Diese wiederum zu gewinnen ist eine weitere Oper in mehreren Akten.

Antoine Zoghby schreibt genau zu diesem Thema seine Diplomarbeit:

Zoghbi, A. (1993) Algorithms for generating integer partitions, M.S. Thesis, University of Ottawa

Ivan Stojmenovic
Ivan Stojmenov

Gemeinsam mit dem Betreuer seiner Diplomarbeit, dem serbischen Mathematiker Professor Ivan Stojmenovic, hat er auf der Grundlage seiner Arbeit einen Text zum Thema FAST ALGORITHMS FOR GENERATING INTEGER PARTITIONS verfasst.

Antoine Zoghbi hat uns freundlicherweise seine Arbeit zur Verfügung gestellt; er steht uns bei der Vorbereitung des Workshops gerne zur Verfügung. Ivan Stojmenovic wollte es nicht glauben, dass sich in Germany eine Gruppe von Schülerinnen und Schülern damit grundständig befassen will.

Der Inhalt von Antoine Zoghbis Thesis gibt uns den computertechnischen Teil des TMSZ Workshops vor.

Wer noch nicht genug hat, für wen die Reise erst jetzt so richtig beginnt, der lese unter den nachfolgenden Kapiteln weiter.

 

 

Für die anderen hier die üblichen Organisationsdaten zu dem Workshop.

 

Wo Jugendakademie Walberberg
Wingert, 53332 Bornheim-Walberberg
Wann Dienstag, 18.4.2006, Beginn 10:00 h
Samstag, 22.4.2006, Ende 17:00 h
Kosten 420.00 EUR incl. aller Leistungen
Leistung Vollverpflegung (vier Mahlzeiten), an allen Tagen jeweils ganztägiger Workshop
Anmeldung mit dem Anmeldeformular können Sie sich verbindlich zu dem Workshop anmelden. Eine Anmeldung nur per e-mail ist nicht möglich.
Anmeldeschluss ist der 19. Februar.
Das ausgefüllte Formular schicken Sie bitte per fax unter 02104 - 80 10 74 an das TMSZ oder mit gelber Post.
Bestätigung sobald sich die erforderliche Zahl der TeilnehmerInnen angemeldet hat, erhalten Sie unser Bestätigungsschreiben.
Rückfragen bei Rückfragen stehen wir Ihnen gerne telefonisch unter 02104-12 688 oder per e-mail zepf@fermat.de zur Verfügung.